Updated: January 28, 2025
By Haley Sater , and Alan Leslie

FS-2024-0709  |  December 2024

Thornless Blackberry Cultivars Suited for the Mid-Atlantic

Blackberries are one of the hardiest perennial fruits to cultivate in Maryland and warmer areas of the Mid-Atlantic. Thornless blackberries are typically hardy into USDA zones 8 to 6 but winter injury may occur in 6b and colder regions. The majority of blackberry cultivars listed here were bred in Arkansas, Oregon, or North Carolina where active blackberry breeding programs have released cultivars suitable for the Mid-Atlantic climate. However, it’s only been in recent decades that many new thornless cultivars or varieties of blackberries with improved fruit quality traits as well as improved cold hardiness have been released. For most commercial growers as well as home gardeners, thornless blackberries offer considerable advantages because they are easy to harvest, train, and prune without injury from thorns. This publication shares characteristics of various released thornless cultivars to help you make an informed selection about which thornless blackberries to plant. Some of these have been trialed at the University of Maryland starting in 2018. Other information is from trials conducted outside of the region, so it is recommended that cultivars be tried on a limited basis at first.

Early Cultivars

Prime Ark® Freedom

Prime Ark® Freedom was released by the University of Arkansas in 2013. This was the world’s first primocane fruiting and thornless blackberry cultivar and was the first thornless cultivar in the Prime Ark® series (Clark, 2014). It has an erect plant architecture. Freedom has the earliest floricane season with fruit that ripens more than one week before Natchez. It has a very large berry with sweet fruit. Berries have intermediate firmness but do not have reliable postharvest storage potential especially compared to other cultivars on this list. This cultivar is suitable for home gardeners and u-pick growers. It is also noted for having resistance to orange rust (Gymnoconia nitens).

Prime Ark® Traveler

Prime Ark® Traveler is a University of Arkansas cultivar released in 2016. This is another of the Prime-Ark® series of thornless, primocane-fruiting blackberries. It makes an early season floricane crop and a late season primocane crop. Berries are medium to large, semi-elongated, firm fruit with a consistently sweet flavor. This cultivar is versatile and can be grown by the home gardener, u-picks, or for local markets and it can be grown commercially and shipped (Clark and Salgado, 2016).

Natchez

Natchez is a University of Arkansas cultivar released in 2007. This cultivar has a semi-erect plant architecture. Natchez is one of the earliest ripening cultivars with a long picking season. The berries are fairly sweet and large (8-10 grams). This cultivar is extremely vigorous and needs to be heavily pruned in the dormant season. It is a very high yield with double the yield of Arapaho and therefore can do well for u-pick operators or home gardens (Clark and Moore, 2008). Fruit shelf life is fair to poor and therefore it is not recommended for storage or shipping. Natchez was susceptible to orange rust (Gymnoconia nitens) as observed in University of Maryland variety trials.

Sweet-Ark Ponca

Sweet-Ark Ponca was another recent release from the University of Arkansas (2019). This berry is part of the new Sweet-Ark series of “sweet flavored” blackberries. Ponca is the sweetest of all the University of Arkansas blackberries, with good flavor. This cultivar has erect canes but can benefit from trellising. This is an early season cultivar with fruit harvest beginning with Natchez. Berries are medium-sized similar to Ouachita. The firm fruit has good post-harvest handling traits. It has been shown that Ponca has some susceptibility to cane and leaf rust (Clark, 2021). Ponca may become a favorite cultivar for home gardeners, as well as u-picks, farmers markets, and commercial operations looking for a very sweet blackberry.

Arapaho

Arapaho is a University of Arkansas cultivar that was released in 1993 (Moore and Clark, 1993). Arapaho is thornless and erect and should be planted at a higher density than other cultivars. This cultivar produces fruit early season with medium sized, firm berries and more tartness than the other cultivars on this list. Arapaho is noted for having small seeds. This cultivar would be a good choice for home growers who appreciate tart berries or intend to use them for jams, jellies, or other products that use added sweeteners.

Sweet-Ark Caddo

Caddo cultivar
Caddo plants in a two-year-old planting. Photo credit Haley Sater, University of Maryland.

Sweet-Ark Caddo was released by the University of Arkansas in 2018. This cultivar has high yield potential with erect canes. It is another early season cultivar with the first ripe berries starting just a few days after Ponca (Clark et al., 2019). Berries are large to medium-large (upwards of 8 grams), firm, and sweet with excellent flavor. This cultivar is well suited for many markets including commercial operations, u-picks, farmers markets, and home gardens.

Osage

Osage blackberry cultivar
Osage plants in a two-year-old planting. Photo credit Haley Sater, University of Maryland.

Osage is a University of Arkansas early season cultivar that was released in 2013. Plant architecture is erect with high yield potential. This berry is medium sized with excellent sweet and low acid flavor and improved postharvest quality. This cultivar has uniform drupelet fill (Clark, 2013). Osage can serve commercial growers, u-pick operations, farmer’s market growers, and backyard growers because of its superior storage potential and consistent fruit quality.

 

Early to Mid-Season Cultivars

Prime-Ark® Horizon

Prime-Ark® Horizon is one of the recent University of Arkansas cultivars, released in 2020. This cultivar is another in the Prime-Ark® series which are all primocane fruiting. This is not a truly thornless plant, but has significantly reduced thorns compared to ordinary thorny blackberries, and has an erect plant architecture. It produces early season floricane fruit around the same time as Ouachita. The yield potential is high for floricanes. However, a large primocane crop in the previous season can decrease the following year’s floricane crop. The primocane crop on this cultivar is the very latest of the primocane fruiting cultivars and can serve to extend your blackberry harvest. Berries of this plant are large and firm. Its flavor is acceptable but light on aromatics with some tart fruit. This cultivar has excellent storage potential and may be cultivated for commercial blackberry production, or by home growers, or those growers selling at farmers markets and u-picks (Press, 2021).

Ouachita

Ouacita blackberry cultivar
Ouachita plants in a two-year-old planting. Photo credit Haley Sater, University of Maryland.

Ouachita is a University of Arkansas cultivar that was released in 2003. This cultivar became popular with the industry because of its high yield and improved shelf life compared to older cultivars (Clark and Moore, 2005). Ouachita grows with very upright, erect plant architecture and produces early season fruit. Berries are medium to large sized with good fruit flavor though it is not as sweet as Apache or Navaho, and it does not have as consistent drupelet fill as Osage. However, it does have good post-harvest storage potential, which in addition to its high yield potential makes it a good choice for commercial growers or anyone looking for a highly productive early season cultivar.

Zodiac

Zodiac is one of the two newest cultivars released by the USDA’s and Oregon State’s cooperative Blackberry Breeding program programs (USPP, 2022) and has been observed in UMD field trials. This cultivar is trailing and requires more training along a trellis than most of the other cultivars on this list which are semi-erect. It has been reported to be highly vegetatively vigorous in Oregon. It has not been vigorous in Maryland and may require more nitrogen than other cultivars based on its performance in Maryland field trials. It is an early-mid season cultivar in Maryland. Berries are small but firm with a strong pleasant aroma and a balanced sugar to acid profile. Zodiac fruits at the beginning to middle of the season and is considered a high yielding cultivar based on Oregon trials, although this has not been confirmed yet in Maryland. This cultivar could be a good choice for commercial growers as well as home gardeners.

Mid-Season Cultivars

Galaxy

Galaxy Blackberry Cultivar
Galaxy plants in a two-year-old planting. Photo credit Haley Sater, University of Maryland.

Galaxy is a recent cultivar, released by USDA’s and Oregon State’s Blackberry Breeding programs in 2020. The plant architecture is semi-erect. This cultivar is like Eclipse, as these two cultivars share a similar genetic background. These two cultivars contain a mixture of Eastern U.S. and Western U.S. blackberry genetics. Galaxy’s berries have high fruit quality in terms of appearance, firmness and flavor. Galaxy is semierect and produces fruit in the mid-season in the Mid-Atlantic. Galaxy has less uniformly shaped berries that are slightly larger than Eclipse with an average weight of 8 grams per berry. Per plant yield was considered moderate by Oregon standard with yields consistently higher than Navaho (Finn et al., 2020).

Sweet-Ark Immaculate

Sweet-Ark Immaculate is the most recent release (2024) from University of Arkansas. This is the third cultivar in the Sweet-Ark series. This cultivar is erect with shorter internodes creating a bushier plant than many of the other blackberries included here. Immaculate has high yield potential but reduced yield after years with exceptionally cold winters (where temperatures reach -15 F). The berry is medium to large sized just larger than Osage Ponca and Von. The flavor of the berries is good and usually sweet. This fruit stays firm in cold storage and is a good choice for many different types of growers including commercial producers and home gardeners.

Von

Von blackberry cultivar
Von plants in a two-year-old planting. Photo credit Haley Sater, University of Maryland.

Von was released by North Carolina State University in 2013. It has an erect plant architecture. Von produces fruit in the mid-late season. It is a high yielding cultivar similar to Ouachita, with uniform medium to large sized berries that have good post-harvest storage specifically for a later season cultivar. Berries are medium size with sweet flavor (Fernandez et al., 2013). This cultivar takes longer to establish full yield potential which occurs in the second year of fruiting. This cultivar is versatile and is grown by commercial producers as well as u-pick operations and by home gardeners.

Eclipse

Eclipse is a recent cultivar, released by USDA’s and Oregon State’s cooperative Blackberry Breeding program programs in 2020 (Kaplan, 2020). This thornless cultivar is considered to have a semi-erect cane structure. Eclipse’s berries are uniformly shaped and medium size. It is an early cultivar for Oregon; however, this has not been tested in the Mid-Atlantic or compared to early Arkansas cultivars such as Natchez or Ponca. Eclipse contains both Chester and Triple Crown in its pedigree but should have an earlier season than both of these older cultivars. Even though Eclipse has better fruit qualities such as firmness and flavor than either Triple Crown or Chester, it had lower fruit yield in three years of field trials in Oregon from 2015-2017 (Finn et al., 2020).

Stark® Black Gem®

Stark® Black Gem® This cultivar was licensed by Stark Bros. and bred by the University of Arkansas. The plant architecture is erect, and it is a mid-season producing floricane cultivar. However, it has a very late primocane season and could be used for season extension. The berries have a soft texture and are sweet, with low acid. It also has smaller seeds than most other blackberry cultivars. Black Gem was released for home growers or u-pick operations because its soft textured fruit does poorly in storage and shipping (Press, 2021).

Apache

Apache is a University of Arkansas cultivar released in 1999. It used to be a high yielding, commercial cultivar but has mostly been replaced by newer cultivars like Osage and Ouachita. Apache was one of the first high yielding, upright or erect cultivars without thorns (Clark and Moore, 1999). It produces medium to large sized berry fruit during the mid to late season (Fig 1). Fruit is sweet with medium to large size (8 grams). White drupelets, unfilled filled drupelets, and druplets which revert to a red color can be an aesthetic problem with this cultivar if grown commercially and stored after harvest. Therefore, Apache is best eaten fresh and makes more sense for u-picks or home growers.

Hull

Hull was developed by USDA in Beltsville, Maryland and released in 1981. This is a semi-erect cultivar. It produces ripe fruit in the middle of blackberry season. It was one of the original thornless cultivars considered to have good flavor and sweetness. This cultivar is no longer widely grown as it has been replaced by more modern cultivars. However, Hull may be suitable for home growers but is no longer grown by many commercial operations because it does not have a long shelf life. Hull is also susceptible to sunscald and uneven drupelet fill under heat stress.

Mid-late Season Cultivars

Navaho

Navaho was the first University of Arkansas thornless cultivar, released in 1989. It has a very erect plant architecture and produces very sweet, small to medium sized berries. This is a later ripening cultivar with a long picking season. Navaho has higher heat tolerance than other blackberries from the University of Arkansas breeding program and has been shown to do well in southern states including USDA zones 9 and 10. This cultivar is primarily for home growers, farmers markets and u-picks trying to extend their harvest season. It is highly susceptible to orange rust (Gymnoconia nitens).

Sweetie Pie

Sweetie Pie was bred by the USDA in Poplarville, Mississippi, and released in 2017. This cultivar is a semi-erect plant habit. It was bred for the Southeast region of the U.S. and has high heat tolerance. It produces fruit in the mid-season to late season. It is considered to have high quality fruit flavor with high levels of Brix or sweetness (Stringer et al., 2017). It is considered ideal for home growers and u-pick operations because its fruit is semi-soft and does not have a long shelf-life potential. Sweetie Pie has a trailing growth habit and requires trellising like Triple Crown and Zodiac.

Twilight

Twilight blackberry cultivar
Twilight plants in a two-year-old planting. Photo credit Haley Sater, University of Maryland.

Twilight is a recent cultivar, released by USDA’s and Oregon State’s cooperative Blackberry Breeding program programs in 2020 (USPP 2023). It contains primarily Eastern U.S. blackberry genetics in its background which may lend Twilight to be a suitable cultivar for Maryland and the rest of the Mid-Atlantic. Twilight’s plant architecture is semi-erect. In Oregon, this cultivar had high yields. It fruited in the early to mid-season with very firm berries that have thick skin (Finn et al., 2020). Twilight is expected to be a good choice for fresh market production due to its good storage and shelf life potential. It also has good flavor similar to Triple Crown.

 

Late Season Cultivars

Celestial

Celestial blackberry cultivar
Celestial plants in a two-year-old planting. Photo credit Haley Sater, University of Maryland

Celestial is one of the two newest cultivars (2023) from the USDA’s and Oregon State’s cooperative Blackberry Breeding program programs (USPP, 2023). This cultivar is an offspring of the cultivar Eclipse and has greater yield potential. It is thornless and a semi-erect architecture that may require more training than erect cultivars. Celestial is described as having an exceptional aromatic flavor with overall exceptional fruit quality (Personal communication with Dr. M. Hardigan, Apr 5, 2023). It produces small to medium-sized fruit which have shiny drupelets. Celestial is more heat tolerant than other Oregon cultivars which could make it a more favorable cultivar for the Mid-Atlantic. It is highly vigorous with semi-erect canes. Celestial produces fruit in mid to late season fruit over a long harvest window, thus potentially making it a good choice for u-pick growers or those trying to extend their season.

Triple Crown

Triple Crown was released as a collaborative venture between breeders Gene Galletta and John Mass (USDA-Beltsville), John Clark (Univ. of Arkansas), and Chad Finn (USDA-Corvallis/Oregon State) in 1996. This cultivar has a semi-erect architecture and requires trellising. The berries are medium to large size, sweet with low acidity and an aromatic flavor. This is the second latest season cultivar (Fig. 1) with high yield potential (Demchak et al., 2013-2014). However, Triple Crown does not have the firmness or shelf life for weeklong postharvest storage or shipping. Therefore, it is most suitable for home growers and u-pick operations.

Chester

Chester was released as a joint effort by breeding programs in Illinois, Ohio, and Maryland, in 1985 (Galletta et al., 1998). While it is a semi-erect cultivar, it requires trellising and training. It has high yield potential. Berries are medium sized with a tart flavor. Chester is the latest season cultivar on this list, ripening after Triple Crown. It can be used to extend the floricane blackberry season bridging the gap until fruit from primocane fruiting cultivars begins to mature. It has more winter hardiness than many of the Arkansas cultivars. Chester is primarily cultivated by u-pick operations, or growers selling at farmer's markets or home growers trying to extend their harvest.

Cultivar Trial Located in Central Maryland

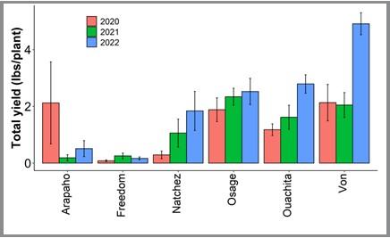
Bar graph displaying the average fruit yield results for each cultivar from the years 2020, 2021, and 2022 at UMD.
Figure 2: Results of cultivar studies at the University of Maryland. Average total fruit yield for the season harvested per plant from 2020, 2021, and 2022 from each cultivar. Error bars represent the standard error of fruit yields per plant in a single year.

The University of Maryland initiated a cultivar trial at the Upper Marlboro Research and Extension Center in the spring of 2018. The cultivars or varieties included in this trial were Arapaho, Natchez, Osage, Ouachita, Prime-Ark® Freedom, and Von. During this trial total fruit yield was measured on a weekly basis as well as size of fruit, plant vigor, and plant survival.

The randomized complete block trial was managed similarly to a commercial planting, following recommended guidelines for fertilizer application and protective fungicide use (see the Mid-Atlantic Berry Guide). Weed control involved herbicide application during early summer and mowing between trellised rows. No regular insecticide applications were made throughout the season. As a result, significant fruit loss occurred due to insect damage, suggesting that improved insect scouting and management could enhance yield values. Consequently, the yield data primarily reflect differences among cultivars rather than the true yield potential of any single cultivar. The main insect pests observed included spotted wing drosophila (Drosophila suzukii) and brown marmorated stink bug (Halyomorpha halys).

This is a bar graph displaying the results of cultivar studies conducted at the University of Maryland. It shows the average berry weight, measured in grams, for each cultivar, based on data collected from 2020 to 2022. The error bars indicate the standard error of the weight among the berries for each cultivar.
Figure 3: Results of cultivar studies at the University of Maryland. Average berry weight in grams from each cultivar averaged from 2020 to 2022. Error bars represent the standard error of the weight among berries for each cultivar.

Findings of this trial across three fruiting seasons showed that total yield varied between cultivars and across years (Fig 2). These yields are lower than expected and could be due to insect damage and that plants were harvested once per week. However, Osage, Ouachita, and Von tended to yield higher than Arapaho, Natchez and Freedom. Notably, Freedom, a primocane fruiting variety, did not produce a high yield on primocanes or floricanes (Fig. 2). Average berry weight also differed significantly between cultivars (Fig. 3) with the higher yielding cultivars such as Osage and Von producing smaller fruit than lower yielding cultivars such as Natchez and Freedom. Freedom had the most variation in fruit size.

Choosing the Right Cultivar

Blackberry breeding in the last few decades has brought about a wealth of new blackberry cultivars. The trial results above and the description of the available thornless blackberries will help you make an informed decision about your cultivar choice. Ideally, the cultivars you choose to plant should be based on traits that are most important to you or your operation.

Additional information about University of Arkansas cultivars can be found on YouTube. The Blackberry Breeding program has a playlist of videos (found at this link) describing most of their newer releases.

References

  • BLACKBERRIES. University of Arkansas Agricultural Experiment Stations. https://aaes.uada.edu/fruit-breeding/blackberries/
  • Clark, J. R. (2021). Blackberry plant named `Ponca`. Patents Granted. Retrieved from https://scholarworks.uark.edu/pat/406
  • Clark, J.R. (2013).‘Osage’ thornless blackberry. HortScience, 48(7), 909-912.
  • Clark, J.R. (2014). ‘Prime-Ark® Freedom’ Primocane-fruiting Thornless Blackberry. HortScience, 49(8), 1097-1101
  • Clark, J.R. and Moore, J.N. (1999). Apache’ thornless blackberry. HortScience, 34(7), 1291-1293.
  • Clark, J.R. and Moore, J.N. (2008). ‘Natchez’ thornless blackberry. HortScience, 43(6), 1897-1899.
  • Clark, J.R. and Moore, J.N. (2005). Ouachita’ thornless blackberry. HortScience, 40(1), 258-260.
  • Clark, J.R. and Salgado, A. (2016). ‘Prime-Ark® Traveler’ primocanefruiting thornless blackberry for the commercial shipping market. HortScience, 51(10), 1287-1293.
  • Clark, J.R., Worthington, M. and Ernst, T. (2019). ‘Caddo’ thornless blackberry. HortScience, 54(9), 1632-1636.
  • Demchak, K., (Ed.), Elkner, T.E., Esslinger, C.J., Frazier, M., Guiser, S.D., Halbrendt, J.M., Harper, J.K., Krawczyk, G., Richards, K.M., Heckman, J.R. and Majek, B.W. (2013). The Mid-Atlantic berry guide for commercial growers, 2013-2014.
  • Fernandez, G.E., Amanda McWhirt, Christine Bradish. (2023). Southeast Caneberry Production Guide. Southern Region Small Fruit Consortium. AG 697. https://content.ces.ncsu.edu/southeast-regional-caneberry-productionguide/cultivars